This website works better with JavaScript.
Home
Explore
Help
Sign In
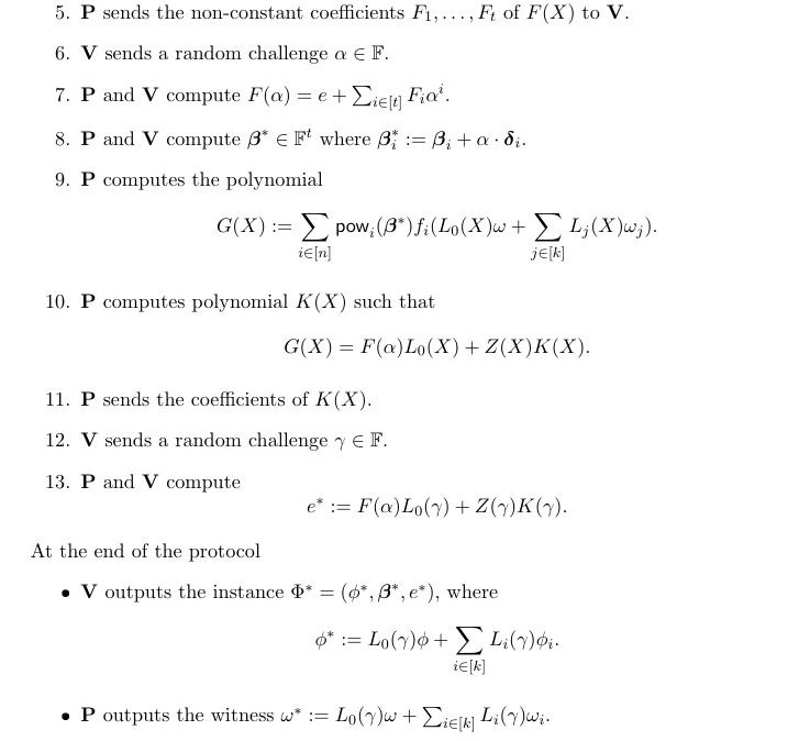
arnaucube
/
math
mirror of
https://github.com/arnaucube/math.git
Watch
1
Star
0
Fork
0
Code
Issues
Projects
Releases
Wiki
Activity
You can not select more than 25 topics
Topics must start with a letter or number, can include dashes ('-') and can be up to 35 characters long.
59
Commits
2
Branches
0
Tags
138 MiB
TeX
82.1%
Python
17.9%
Tree:
b04fced136
folding-slides
master
Branches
Tags
${ item.name }
Create branch
${ searchTerm }
from 'b04fced136'
${ noResults }
math
/
imgs
/
protogalaxy-screenshot.png
79 KiB
Raw
History